
Расстояние между ОПН и трансформатором на подстанциях
25 ноября, 2021
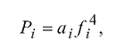
На каком расстоянии от трансформатора можно разместить ОПН (разрядники), обеспечив при этом достаточную защиту? Ответ не так прост и требует некоторых пояснений. Обычно рекомендуется «размещать ОПН как можно ближе к...Обзор мирового рынка силовых трансформаторов до 2027 года
19 ноября, 2021
Трансформаторы играют ключевую роль в производстве, передаче и распределении электроэнергии.
Рост мирового рынка обусловлен повышением спроса на электроэнергию и, как следствие, появлением новых энергетических проектов...Проектирование силовых трансформаторов и инженерные требования
3 ноября, 2021
Компании по проектированию и производству силовых трансформаторов работают с широким спектром конфигураций трансформаторов.
Например:
Трансформаторы для станций/подстанций;
Автотрансформаторы (с третичной обмоткой...Ganz поставит трансформатор в Данию
19 октября, 2021
Компания Ganz Transformers and Electric Rotating Machines Ltd. изготовила и поставила трансформатор мощностью 80 МВА датской компании Fjernvarme Fyn, занимающейся теплоснабжением.
Впервые с момента возобновления производства в сентябре прошлого...Преимущества силовых трансформаторов, заполненных жидкостями на основе природных эфиров
2 октября, 2021
Введение.
Трансформатор - это устройство, которое передает электрическую энергию от одной цепи к другой через индуктивно связанные проводники. Трансформатор называется повышающим или понижающим трансформатором...Siemens Energy использует ПО Fabasoft Approve
27 сентября, 2021
Siemens Energy использует Fabasoft Approve в качестве процессно-ориентированного решения по управлению качеством для своего сегмента силовых трансформаторов. После успешного завершения пилотных проектов на двух крупнейших трансформаторных...Рынок силовых трансформаторов к 2027 году составит 50,8 млрд
25 июня, 2020
Рынок силовых трансформаторов к 2027 году составит 50,8 млрд. долларов при среднегодовых темпах роста 7,9%.
Согласно отчету, опубликованному Allied Market Research, мировой рынок силовых трансформаторов в 2019 году получил 27,7 млрд. долл....Сертификация трансформаторов SGB VPI проведена
11 мая, 2020
США: SGB-SMIT - Vacuum Pressure Impregnated (VPI) - трансформатор с треугольным сердечником получил UL-сертификацию в рекордно короткие сроки.
VPI - трансформатор с треугольным сердечником - это новая технология, представленная...О влиянии эксплуатационных факторов на старение маслобарьерной изоляции
23 мая, 2018
Ю. Н. Калентьев, Г. С. Кучинский, Е. И. Миронова
Проблема повышения рабочих напряженностей электрического поля в маслобарьерной изоляции (МБИ) силовых высоковольтных трансформаторов при переходе к высшим классам напряжения...Гидравлическое сопротивление концевой изоляции обмоток
13 марта, 2017
ГИДРАВЛИЧЕСКОЕ СОПРОТИВЛЕНИЕ КОНЦЕВОЙ ИЗОЛЯЦИИ ОБМОТОК ТРАНСФОРМАТОРОВ
А. Д. ГОРОШКО, Л. И. ЧУКТУРОВА, инженеры ВИТ
Циркуляционный контур охлаждения современного мощного трансформатора представляет собой сложную...Диагностика трансформаторов методом низковольтных импульсов
30 ноября, 2016
Хренников А. Ю., Киков О. М.
При эксплуатации на подстанциях в энергосистемах важна достоверная и эффективная диагностика повреждений трансформаторов для выявления остаточных деформаций после аварийных режимов с наличием...Оценка механического состояния обмоток крупных трансформаторов
30 ноября, 2016
Осотов В. Н., Рущинский В. Н., Рущинский В. В., Смыслов В. П., Ульянова. М.
Известно, что в процессе эксплуатации трансформаторов вследствие старения и усадки изоляции, существенной вибрации и релаксации системы прессовки...Показатели состояния изоляции для оценки возникновения внутренних КЗ
30 ноября, 2016
Ванин Б. В., Львов М. Ю., Неклепаев Б. Н.
Известно, что наиболее тяжелым повреждением трансформатора является любое (витковое, междуфазное, на землю) внутреннее короткое замыкание (КЗ). Как указано в [1], внутренние КЗ в силовых...Инфракрасное диагностирование силовых трансформаторов
18 ноября, 2016
Инфракрасное диагностирование силовых трансформаторов, автотрансформаторов и шунтирующий реакторов на номинальное напряжение выше 1000 В.
Конструктивные особенности позволяют выполнять тепловизионную диагностику...Перевозка трансформаторов автотранспортом
28 октября, 2016
Организационно-технические мероприятия по перевозке силовых трансформаторов автотранспортом
Мероприятия
Содержание работ по мероприятию
Выбор трассы
1. Трасса должна проходить по дорогам с твердым покрытием...Продольная изоляция обмоток
6 сентября, 2016
Между элементами обмотки силового трансформатора — витками, катушками, слоями и т.п. — электрическая прочность обеспечивается продольной изоляцией, составляющей единое целое с самой обмоткой.
В обмотках всех типов...Обмоточный провод
6 сентября, 2016
Обмотки силовых трансформаторов наматываются медными или алюминиевыми проводами прямоугольного или круглого сечения, имеющими электрическую изоляцию, которая обеспечивает электрическую прочность между соседними...Выбор изоляции и сухие трансформаторы
21 февраля, 2016
Выбор изоляции и технологии
Выбор охлаждающей способности изоляции силовых трансформаторов связан с аспектами экономичности и безопасности. Трансформаторы сухого типа заполнения охлаждаются окружающим воздухом....Особенности работы силовых автотрансформаторов
31 декабря, 2015
Автотрансформатор представляет собой многообмоточный трансформатор, у которого две обмотки связаны электрически В энергосистемах получили применение трехобмоточные автотрансформаторы - трехфазные и группы из однофазных....Включение и отключение, параллельная работа
31 декабря, 2015
ВКЛЮЧЕНИЕ И ОТКЛЮЧЕНИЕ ТРАНСФОРМАТОРОВ, ИХ ПАРАЛЛЕЛЬНАЯ РАБОТА
В сеть трансформаторы включаются толчком на полное напряжение. При этом возникает переходный процесс, связанный е изменением магнитного потока. Величина...Регулирование напряжения трансформаторов
31 декабря, 2015
График нагрузки трансформаторов на подстанции в течение суток меняется в значительных пределах, что вызывает изменения напряжения на шинах у потребителей из-за падения напряжения на линии и в трансформаторе при колебании...Системы охлаждения трансформаторов
31 декабря, 2015
СИСТЕМЫ ОХЛАЖДЕНИЯ ТРАНСФОРМАТОРОВ И ОБСЛУЖИВАНИЕ ОХЛАЖДАЮЩИХ УСТРОЙСТВ
При работе трансформатора выделяются значительные тепловые потери: в магнитопроводе, связанные с перемагничивание и вихревыми токами в стали;...Контроль режимов эксплуатации
31 декабря, 2015
Температурно-нагрузочный контроль.
Развитие системы такого контроля трансформатора основывается на следующих данных;
значениях токов нагрузки (отдельно в каждой обмотке) и тока в нейтрали;
значениях температуры масла...Эксплуатация трансформаторов
31 декабря, 2015
ОСНОВНЫЕ СВЕДЕНИЯ
Трансформатором называется устройство, предназначенное для преобразования электрической энергии переменного тока одного напряжения в электрическую энергию другого напряжения посредством электромагнитной...Повреждения аппаратов ОРУ 110 кВ и ЗРУ 10-6 кВ
12 мая, 2015
Приведение трансформаторов к одной группе
1. При монтаже ЗРУ -110 кВ на подстанцию карьера через вспомогательные изоляторы подали напряжение MB типа МКП-110 кВ с чередованием «С», «В», «А».
2. На основной подстанции 2 трансформатора...































































































