Частотная характеристика диэлектрика и зависимость тангенса дельта от температуры

Опубликовано: 28 Август 2011

М. Karlstrom, М. Ohlen, P. Werelius, Company MEGGER Ltd

Введение

При старении парка энергетического оборудования современные энергопредприятия сталкиваются с серьезными проблемами, так как отказы в работе, следующие за ними ремонт и потеря прибыли могут привести к значительным издержкам. Трансформаторы - одна из важнейших составляющих энергосистемы. Потребность в надежных диагностических методах ставит ведущих экспертов всего мира перед необходимостью оценивать новые технологии, которые увеличивают надежность и оптимизируют использование энергосети.
Состояние изоляции - основной показатель надежности функционирования силовых трансформаторов, генераторов, кабелей и другого оборудования высокого напряжения. Трансформаторы с высоким влагосодержанием не могут выдерживать высокие нагрузки, не подвергаясь риску. Высоковольтные вводы и кабели с высоким значением тангенса угла диэлектрических потерь изоляции при высокой температуре могут получить повреждения из-за «теплового пробоя».
С другой стороны, также очень важно выявлять «хорошие» единицы в стареющем парке оборудования. Добавление только нескольких лет эксплуатации к ожидаемому сроку службы трансформатора или кабеля - значительная экономия затрат для энергетической компании.

Традиционные способы измерения тангенса угла диэлектрических потерь

Самый распространенный способ диагностики изоляции - это измерение емкости и тангенса дельта при 50/60 Гц. Это стандартное испытание, производимое всякий раз, когда возникает необходимость изучения свойств изоляции. Большинство тестов выполняются при 10 кВ и рабочей температуре, но проводятся испытания и с переменным напряжением, а также испытания, где тангенс дельта измеряется в зависимости от температуры. Анализ основывается на статистических данных (полученных ранее) и сопоставлении значений, полученных на заводе. Так как свойства изоляции зависят от температуры, компенсация температурных воздействий должна использоваться для измерений при температуре, не равной 20 °С, что обычно достигается при использовании табличных значений поправки на температуру для определенных классов устройств [1].
В IEEE 62-1995 приводятся типичные значения измерений тангенса дельта для трансформаторов и высоковольтных вводов (табл. 1).
Таблица 1
Типичные значения тангенса дельта (IEEE)

Наименование показателя

Типичные значения тангенса дельта при 20 °С

«Новые», %

«Старые», %

Предел «предупреждение/ тревога»,%

Силовые трансформаторы с масляной изоляцией

0,2-0,4

0,3-0,5

>0,5

Высоковольтные вводы

0,2-0,3

0,3-0,5

>0,5

Типичные поправки на температуру показаны на рис. 1. Очевидно, что приведенные значения - только приблизительное руководство.
поправки на температуру для тангенса дельта
Рис. 1. Типичные поправки на температуру для тангенса дельта
В IEEE 62-1995 указано: «Значения тангенса дельта, зафиксированные при контрольных испытаниях общего состояния старых агрегатов, дают информацию об общем состоянии корпусной и межвитковой изоляции трансформаторов и реакторов. Они также дают ценные сведения о сухости и помогают при обнаружении нежелательных рабочих условий и возможности отказа, вызванного влажностью, перегревом изоляции, повреждением высоковольтных вводов, загрязнением масла растворенными материалами или проводящими частицами, заземленными или не заземленными сердечниками и т. д. В то время как тангенсы дельта для старых трансформаторов будут также составлять <0,5 % (20 °С), тангенсы дельта между 0,5 и 1,0 % (20 °С) могут быть приемлемыми; однако тангенсы дельта >1,0 % (20 °С) нужно исследовать».

Измерение частотной характеристики диэлектрика

Первый инструмент для измерения ЧХД и СЧО в условиях эксплуатации для трансформаторов, высоковольтных вводов и кабелей был использован в 1995 г. [2]. С тех пор многократно выполнялась оценка данных методов; например, по данным нескольких международных докладов/проектов, измерения характеристики диэлектрика вместе с моделированием изоляции - наиболее предпочтительный метод измерения влагосодержания бумажной изоляции в силовых трансформаторах [3-5].
В испытаниях ЧХД измеряются емкость и тангенс дельта/коэффициент рассеяния. Принцип измерения и настройка очень похожи на традиционные испытания при 50/60 Гц с той разницей, что используется более низкое напряжение измерения (200 В) и что свойства изоляции измеряются в широком диапазоне частоты (обычно от 1 кГц до 1 МГц) вместо измерения при частоте сети 50/60 Гц.
Схема измерений ЧХД/СЧО
Рис. 2. Схема измерений ЧХД/СЧО
Результаты измерения ЧХД у четырех различных трансформаторов
Рис. 3. Результаты измерения ЧХД у четырех различных трансформаторов с влагосодержанием от 0,3 до 3,4 %
Результаты обычно представляют как емкость и/или тангенс дельта в зависимости от частоты. Схема измерений показана на рис. 2. Типичные результаты измерения ЧХД в трансформаторах при различных условиях показаны на рис. 3.

Оценка влажности

Возможности анализа ЧХД для измерения тангенса дельта как функции частоты дают пользователю мощный инструмент диагностики. Одним из примеров является оценка влажности.
Высокий уровень влажности - серьезная проблема, так как он ограничивает максимальную нагрузочную способность (IEEE Std С57.91-1995) и ускоряет процесс старения изоляции. Точная информация о действительном влагосодержании в трансформаторе необходима, чтобы принимать решения о корректирующих действиях, замене/отбраковке иди перемещении на другое место в сети с уменьшением нагрузки.
Метод использования ЧХД для определения влагосодержания в маслобумажной изоляции силового трансформатора подробно описывался в ряде других статей [3-5] и в данной статье представлен кратко.
Зависимость тангенса дельта от частоты имеет типичную кривую S-образной формы. При увеличении температуры кривая сдвигается по направлению к более высокой частоте. Влажность влияет главным образом на области низкой и высокой частоты. Средняя часть кривой с крутым уклоном отражает проводимость масла. На рис. 4 представлено влияние параметров на эталонную кривую.
Использование ЧХД для определения влажности основывается на сопоставлении измеренной характеристики диэлектрика трансформатора со смоделированной характеристикой диэлектрика (эталонная кривая).
Параметры, которые влияют на тангенс дельта
4. Параметры, которые влияют на тангенс дельта
Алгоритм согласования преобразует смоделированную характеристику диэлектрика и передает новую эталонную кривую, которая отражает состояние измеренного трансформатора. Здесь представлено влагосодержание вместе с проводимостью для эталонной кривой. В качестве фиксированного параметра нужно вводить только температуру изоляции (максимальная температура масла и/или температура обмотки).
Анализ влажности MODS
Рис. 5. Анализ влажности MODS®
На рис. 6 показаны два различных трансформатора. Две единицы имеют одинаковый коэффициент рассеяния 0,7 %, 50/60 Гц, который характеризуется в IEEE 62-1995 как статус «предупреждение / тревога», который требует исследования. Исследование проводится в виде анализа влажности с использованием MODS.
Два трансформатора значительно отличаются, и меры по их техобслуживанию также будут разными. Трансформатор 1 имеет хорошее масло, но нуждается в просушке. Трансформатор 2 имеет низкую влажность, однако требует замены масла или регенерации.
Анализ MODS для двух трансформаторов
Рис. 6. Анализ MODS для двух трансформаторов с разным качеством масла и влагосодержанием
Диагностика высоковольтного ввода
Все более актуальной проблемой становится старение/ухудшение состояния высоковольтных вводов высокого напряжения. Производители энергосистемы и поставщики испытательных систем предлагают и испытывают различные методы для обнаружения проблем в высоковольтных вводах, чтобы эти проблемы не привели к необратимым отказам. Такие методы включают мониторинг в оперативном режиме и меры автономной диагностики [6-7].
Традиционная проверка тангенса дельта при 50/60 Гц может выявить старение/высокое влагосодержание, особенно если ее выполнять при различных температурах, как показано на рис. 7 [8] и 8 [10].
Зависимость тангенса дельта  от температуры для высоковольтных вводов
Рис. 7. Зависимость тангенса дельта (%) от температуры для высоковольтных вводов с различным влагосодержанием [6]
Как видно из рис. 7, значения тангенса дельта при более низких температурах довольно похожи при уровне влагосодержания от низкого до умеренного. Значительных изменений не наблюдается до тех пор, пока измерение не производится при температуре, приблизительно равной 50 °С.
«Плохой» высоковольтный ввод на рис. 8 можно сопоставить с показателями высоковольтного ввода на рис. 7. Вычислено, что влагосодержание составляет около 4 %.

Зависимость тангенса дельта   от температуры   для «хороших» и «плохих» высоковольтных вводов
Рис. 8. Зависимость тангенса дельта (%) от температуры (°С) для «хороших» и «плохих» высоковольтных вводов [10]
Увеличение тангенса дельта при более высоких температурах - явный признак проблем в высоковольтном вводе. Причиной необратимых отказов в работе высоковольтных вводов (взрывов) часто является то, что называют тепловым пробоем. Высокий тангенс дельта при более высоких температурах приводит к большему нагреванию высоковольтного ввода, которое, в свою очередь, ведет к потерям, вызывающим дополнительный нагрев, приводящий к еще большему увеличению потерь, в результате чего происходит взрыв высоковольтного ввода.
Индивидуальная поправка на температуру
Измерения и анализ ЧХД вместе с моделированием системы изоляции также учитывают зависимость от температуры. Новая методология (патент заявлен) состоит в том, чтобы выполнять измерения ЧХД и преобразовывать результаты оценки тангенса дельта при 50/60 Гц как функцию температуры. Этот метод имеет большие преимущества в простоте измерений.
Тангенс дельта при 60 Гц для маслобумажной изоляции
Рис. 9. Тангенс дельта при 60 Гц для маслобумажной изоляции с различным влагосодержанием как функция температуры (°С)
Вместо трудоемкого нагревания/охлаждения высоковольтного ввода и выполнения нескольких измерений при различных температурах выполняется одно измерение, и его результаты преобразуются в значения тангенса дельта 50/60 Гц как функция температуры. На рис. 9 показаны результаты этого метода, где они сопоставлены с классическими результатами, представленными в [9].
В основе этого метода - факт, что измерение определенного тангенса дельта при определенной частоте и температуре соответствует измерению, сделанному при другой температуре и другой частоте. Расчеты по преобразованию основываются на законе/уравнении Аррениуса, который описывает, как свойства изоляции изменяются в зависимости от температуры:

где Жл - энергия активации; к - постоянная Больцмана.
Отношение для трех различных энергий активации показано на рис. 10.
Отношение между значениями тангенса дельта при разной частоте
Рис. 10. Отношение между значениями тангенса дельта при разной частоте (измерения проводились при разной температуре)

Тангенс дельта высоковольтного ввода как функция температуры
Рис. 11. Тангенс дельта высоковольтного ввода как функция температуры. Измеренные и преобразованные величины сопоставлены с опубликованными данными [6]
Применение этого метода при реальном измерении ЧХД для высоковольтных вводов дает результаты, которые показаны на рис. 11. Два высоковольтных ввода, «хороший» и «плохой», сопоставляются с паспортными заводскими значениями (рис. 7). Вычислено, что «плохой» высоковольтный ввод имеет влажность 4 %, и такой ввод следует рассматривать как подверженный риску.
Таблицы поправок на температуру, такие как IEEE/C57.12.90, указывают средние значения для «средних» состояний и не являются верными для отдельного трансформатора или высоковольтного ввода. Энергопредприятия заметили это и стараются не применять поправки на температуру, рекомендуя выполнять измерения в узком диапазоне температур [11].
Индивидуальная поправка на температуру для трансформаторов является более сложной по сравнению с поправкой для изделий из одного материала, например высоковольтных вводов. Постоянная активации энергии маслобумажной изоляции Жа, согласно закону Аррениуса,

Тангенс дельта как функция температуры  для четырех различных трансформаторов
Рис. 12. Тангенс дельта как функция температуры (°С) для четырех различных трансформаторов [11]
С помощью метода ЧХД и метода преобразования данных в температурную зависимость можно выполнять правильную индивидуальную компенсацию температурных воздействий (патент заявлен). Для хорошей изоляции температурная зависимость слабая. Когда изоляция стареет и/или изнашивается, коэффициент поправки на температуру становится значительно больше, т. е. поправка на температуру - это функция от старения, что согласуется с результатами нескольких проектов и исследований [8, 10].
Примеры индивидуальных поправок на температуру для высоковольтных вводов показаны на рис. 13. Данные таблицы, представленной производителем, верны только для новых высоковольтных вводов. Как только у высоковольтных вводов появляются признаки старения, температурная зависимость увеличивается. «Плохие» высоковольтные вводы имеют очень большую поправку на температуру.
Стандартная поправка на температуру
Рис. 13. Стандартная поправка на температуру по сравнению с индивидуальной поправкой на температуру для образцов высоковольтных вводов GE Type U
где Wix - энергия активация; к постоянная Больцмана.
Энергия активации для пропитанной маслом бумаги обычно составляет 0,9-1 eV, в то время как для масла трансформатора W.A - обычно около 0,4- 0,5 eV.
Индивидуальные поправки на температуру для трансформаторов с разным износом показаны на рис. 14. Данные для трансформатора обобщены в табл. 2.
Таблица 2
Данные для трансформатора

Производитель

Год

Влажность,

Номинальная мощность, МВА

Статус

Pauwels

2005

0,4

80

Новый, на заводе

Pauwels

2000

0,3

20

Новый, на энергопредприятии

Westinghouse

1985

1,5

40

Бывший в употреблении, на энергопредприятии

Yorkshire

1977

4,5

10

Бывший в употреблении и списанный

Поправка на температуру для трансформаторов в разном состоянии
Рис. 14. Поправка на температуру для трансформаторов в разном состоянии
Как видно из рисунка, каждый трансформатор имеет свою индивидуальную поправку на температуру. Новые единицы имеют «отрицательную» поправку для незначительно повышенных температур и будут показывать совершенно другие результаты, если использовать стандартную таблицу.
Старые трансформаторы показывают те же характеристики, что и стандартные таблицы, но с более сильной температурной зависимостью по сравнению со средними значениями IEEE.

Результаты экспериментов

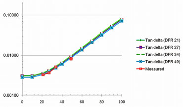
Пропитанная маслом крафт-бумага. Образцы крафт-бумаги с различным влагосодержанием были проанализированы при разных температурах [13]. Результаты измерений для сухой бумаги с влагосодержанием <0,5 % показаны на рис. 15.
Использование метода ЧХД для оценки температурной зависимости на основе измерений только при одной температуре дает результаты, представленные на рис. 16. Как показано на диаграмме, рассчитанная температурная зависимость хорошо согласуется с действительно измеренными значениями тангенса дельта.

Трансформаторы.

Коэффициент рассеяния
Рис. 15. Коэффициент рассеяния как функция частоты для сухой крафт-бумаги
Тангенс дельта при 50 Гц для сухой крафт-бумаги
Рис. 16. Тангенс дельта при 50 Гц для сухой крафт-бумаги как функция температуры
Измерения ЧХД на распределительном трансформаторе при различных температурах показаны на рис. 17. Как и ожидалось, анализ на влажность (влагосодержание бумажной изоляции) показывает одинаковые значения вне зависимости от температуры изоляции (температура изоляции определялась по температуре обмотки, оцененной по сопротивлению обмотки постоянному току).
Результаты измерений ЧХД
Рис. 17. Результаты измерений ЧХД и анализа влажности при различных температурах
Масляную и бумажную изоляцию нужно рассматривать отдельно при моделировании трансформатора для оценки температурной зависимости. Это показано на рис. 18.
Тангенс дельта как функция частоты для масляной и бумажной изоляции
Рис. 18. Тангенс дельта как функция частоты для масляной и бумажной изоляции
Сочетание результатов моделирования и преобразования в температурную зависимость позволило получить кривые, представленные на рис. 19. Также для этой системы изоляции, содержащей два разных зависящих от температуры материала, преобразование дает результаты, очень близкие к действительным измеренным значениям тангенса дельта.
Тангенс дельта при 50 Гц для распределительного трансформатора
Рис. 19. Тангенс дельта при 50 Гц для распределительного трансформатора как функция температуры

Высоковольтные вводы.

Высоковольтный ввод ASEA/ABB GOB предположительно в хорошем состоянии был испытан при различных температурах. Измерения тангенса дельта и ЧХД были выполнены при трех разных температурах: в помещении при 22 °С, на открытом воздухе при -8 °С и в нагретой камере при 42 °С. Результаты испытания приведены в табл. 3.
Таблица 3
Измерения тангенса дельта на высоковольтном вводе ABB GOB

Температура изоляции, °С

Измеренный тангенс дельта

при 200В

при 1-10 кВ

Комментарий

-8

0,86

1,04-1,14

Зависимость от напряжения при низкой температуре

22

0,46

0,46

-

42

0,34

0,32

-

На рис. 20 представлены рассчитанные поправки на температуру с использованием результатов по ЧХД вместе с данными от производителя о поправках на среднюю температуру.
Кривые поправок на температуру для высоковольтного ввода
Рис. 20. Кривые поправок на температуру для высоковольтного ввода ABB/ASEA GOB
Для конкретного высоковольтного ввода индивидуальная поправка на температуру как при 22 °С, так и при 42 °С прекрасно согласуется с данными от производителя, показывающими высоковольтный ввод в нормальном состоянии.

Заключение и выводы

Измерение частотной характеристики диэлектрика (ЧХД/СЧО) - это метод/методология испытания и диагностики общего состояния изоляции. По сравнению с традиционными измерениями тангенс дельта при 50/60 Гц измерения ЧХД имеют следующие преимущества:

  1. способность выполнить индивидуальную поправку на температуру измеренного значения тангенса дельта 50/60 Гц;
  2. способность оценить влагосодержание пропитанной маслом бумажной изоляции в силовых трансформаторах и высоковольтных вводах;
  3. способность оценить значение тангенса дельта при рабочей температуре для оценки риска необратимого отказа в случае теплового пробоя;
  4. способность исследовать увеличение тангенса дельта из-за активных составляющих.

Свойства изоляции имеют большое значение для определения состояния энергосистемы в целом. Наличие информации о ее состоянии помогает избежать возможного необратимого отказа, определить «хорошие» единицы и принять решение о правильном техобслуживании, что позволяет отсрочить затраты на инвестирование и, как следствие, сэкономить значительные средства.

  1. IEEE Guide for Diagnostic Field Testing of Electric Power Apparatus; Pt. 1: Oil Filled Power Transformers, Regulators, and Reactors", IEEE 62-1995.
  2. Werelius P. et al. Diagnosis of Medium Voltage XLPE Cables by High Voltage Dielectric Spectroscopy, paper presented at ICSD 1998.
  3. Gdjvert U. et al. Dielectric Spectroscopy in Time and Frequency Domain Applied to Diagnostics of Power Transformers // 6th Intern. Conf. on Properties and Applications of Dielectric Materials, June 21-26, 2000, Xi’an, China.
  4. Gubanski S. M. et al. Dielectric Response Methods for Diagnostics of Power Transformers, Electra, No. 202. June 2002. P. 23-34 (CIGRE Technical Brochure, No. 254. P. 2004).
  5. Gubanski S. M. et al. Reliable Diagnostics of HV Transformer Insulation for Safety Assurance of Power Transmission System. REDIATOOL - a European Research Project, paper Dl-207 CIGRE 2006.
  6. Swedish Bushings Plant Sees Growth in RIP Designs, INMR Quarterly, Issue 68, 2005.
  7. Braun J. M et al. Accelerated Aging and Diagnostic Testing of 115 kV Type U Bushings, paper presented at IEEE Anaheim 2000.
  8. Kane C. Bushing, PD and Winding Distortion Monitoring, paper presented at ABB Seminar «Power Transformer Health Monitoring and Maintenance» Johannesburg, 2008.
  9. Blodget R. B. Influence of Absorbed Water and Temperature on Tan Delta and Dielectric Constant of Oil-Impregnated Paper Insulation, Trans. AIEE, 1961.
  10. Brusetti R. Experience with On-line Diagnostics for Bushings and Current Transformers, NETA Fall 2002, paper A335.
  11. Tyagi R. K., Victor S., Sodha N. S. Application of Temperature Correction Factors for dissipation factor Measurements for Power Transformers - A case study, Doble Client Conf, Vadodara, India, 2006.
  12. Werelius P., Ohlen M. Dielectric Frequency Response Measurements on Power Transformers, EuroTechCon 2008, Liverpool, UK.
  13. Niemanis R. et al. Determination of Moisture Content in Mass Impregnated Cable Insulation Using Low Frequency Dielectric Spectroscopy, IEEE Power Engineering Society Summer Meeting 2000, Seattle, Washington, USA.

Ещё по теме:

Оставить отзыв