Эксплуатация силовых трансформаторов.
О влиянии эксплуатационных факторов на старение маслобарьерной изоляции
23 мая, 2018
Ю. Н. Калентьев, Г. С. Кучинский, Е. И. Миронова
Проблема повышения рабочих напряженностей электрического поля в маслобарьерной изоляции (МБИ) силовых высоковольтных трансформаторов при переходе к высшим классам напряжения...Включение и отключение, параллельная работа
31 декабря, 2015
ВКЛЮЧЕНИЕ И ОТКЛЮЧЕНИЕ ТРАНСФОРМАТОРОВ, ИХ ПАРАЛЛЕЛЬНАЯ РАБОТА
В сеть трансформаторы включаются толчком на полное напряжение. При этом возникает переходный процесс, связанный е изменением магнитного потока. Величина...Эксплуатация трансформаторов
31 декабря, 2015
ОСНОВНЫЕ СВЕДЕНИЯ
Трансформатором называется устройство, предназначенное для преобразования электрической энергии переменного тока одного напряжения в электрическую энергию другого напряжения посредством электромагнитной...Противопожарная защита трансформаторов ICAF
2 января, 2014
Пенные системы, интегрированные со сжатым воздухом для противопожарной защиты стационарного высоковольтного оборудования
Общий вид
Современное общество в повседневной жизни использует все больше и больше технологий....Наблюдение за трансформатором
16 февраля, 2013
Планирование частоты проведения испытаний основывается на критичности использования трансформатора. Несмотря на название, фактически, это не является собственно испытаниями. Вы намерены собрать определенные данные,...Категории испытаний трансформаторов
16 февраля, 2013
Существуют три категории испытаний трансформаторов - приемно-сдаточные, типовые, и периодические. Каждая их них служит различным целям, состоит из различных тестов, и требует различного уровня подготовки персонала....Температура трансформаторов и эксплуатация
20 декабря, 2012
Температурные соображения для трансформаторов с жидким диэлектриком
Трансформаторы с жидким диэлектриком используют изоляцию, основанную на системе целлюлозы/жидкости. Жидкость служит, и как изолирующая, и как охлаждающая...Заземление трансформаторов ветроэлектростанций
6 декабря, 2012
Почему заземления трансформаторов имеют важное значение для крупных ветроэлектростанций
Когда вы думаете о ветряных электростанциях, на ум приходят величественные башни с огромными вращающимися лопастями, охватывающими...Применение Envirotemp FR3 в холодном климате
2 декабря, 2012
1. Соответствует ли жидкость FR3 ограничениям IEEE для нормальных рабочих температур IEEE до -20° C?
Ответ: Да, во время проведения испытания ASTM D-97, температура застывания FR3, обычно была равна -21°C.
2. Что происходит с FR3, когда она...Бесшумных трансформаторов не бывает
29 ноября, 2012
Каков источник всего этого шума?
Да, все мы знаем, что бесшумных трансформаторов не бывает. Создать бесшумный трансформатор фактически невозможно, но в мире, заботящимся об окружающей среде, и имеющим...Работа трансформаторов при повышенном напряжении
25 сентября, 2012
Согласно ПТЭ, § 35.14. На трансформаторах допускается повышение напряжения сверх номинального:
а) длительно — на 5% при нагрузке не выше номинальной и на 10% при нагрузке не выше 0,25 номинальной;
б) кратковременно...Эксплуатация трансформаторов
9 августа, 2012
Смонтированные электроустановки до приемки в эксплуатацию должны быть приняты заказчиком от подрядной организации по акту.
Для сдачи трансформатора в эксплуатацию монтажная организация оформляет следующую документацию:
Комплект...Диагностика механических деформаций обмоток
17 мая, 2012
А.А.Дробышевский, Е.И.Левицкая (Всероссийский электротехнический институт, г. Москва)
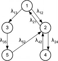
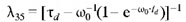
В настоящее время состояние трансформаторного парка в энергосистемах характеризуется значительной долей изношенного оборудования,...Диагноз технического состояния трансформаторного оборудования
17 мая, 2012
М.Е.Алпатов (ОАО ХК «Электрозавод», Москва)
Проблема диагностики занимает в настоящее время одно из основных мест в тематике совещаний и конференций по трансформаторам. При этом острота проблемы постоянно возрастает,...Причины повреждений масляных распределительных трансформаторов
17 января, 2012
В электрических сетях, количественно наибольшую долю занимают силовые трансформаторы с высшим напряжением 10 или 6 кВ, и в основном, это маслонаполненные аппараты типа ТМ, ТМГ и их аналоги. Силовые трехфазные масляные...Осмотр маслонаполненных трансформаторов
31 декабря, 2011
1.1 Внешний вид
Визуальный осмотр внешнего вида трансформатора может дать важную информацию о его состоянии. Например, неправильное расположение клапанов, подключение радиаторов, заклинившие индикаторы температуры...Сроки устранения дефектов трансформаторов
25 ноября, 2011
Рекомендуемые сроки локализации и/или устранения дефектов силовых трансформаторов
№
п/п
Части и системы трансформатора, в которых найдены или подозреваются дефекты, характер дефектов
Сроки локализации и/или...Перенапряжения при отключении трансформаторов на хх
2 сентября, 2011
Коммутационные перенапряжения, создаваемые выключателями при отключениях ненагруженных трансформаторов, и их ограничение
Значительный объем экспериментальных данных по коммутационным перенапряжениям, вызванных...Силовые трансформаторы в распредсетях нефтепромыслов
29 августа, 2011
Одна из причин искажения показателей качества электрической энергии поставляемой на объекты нефтедобывающего комплекса - износ и ухудшение эксплуатационных характеристик электрооборудования. Совместный контроль...Профилактика повреждений маслонаполенных трансформаторов
4 августа, 2011
Грамотная эксплуатация и постоянный мониторинг силового трансформатора могут помочь значительно увеличить срок его службы.
(more…)
Отказы трансформаторов
26 июля, 2011
Трансформаторы различных габаритов и конфигураций являются сердцем энергетических систем. Будучи крайне необходимым и дорогостоящим оборудованием, трансформаторы играют важную роль в передаче электроэнергии и целостности...Нагрев и охлаждение трансформатора
20 июля, 2011
В реальном трансформаторе некоторая часть мощности рассеивается в виде тепла. Часть этих потерь мощности происходят в проводнике обмотки из-за электрического сопротивления и называются потерями в меди. Как бы там ни...Обслуживание трансформаторов и простои
19 июля, 2011
Научитесь контролировать срок эксплуатации ваших силовых трансформаторов и увидеть пять практических советов, которые помогут вам продлить жизнь ваших активов и сократить риски незапланированных простоев. (видео...Повышение надежности эксплуатации и продления срока службы трансформаторов
25 апреля, 2011
Цветаев С.К., Першина Н.Ф., Смекалов С.В., Долин А.П., Смекалов В.В.
В настоящее время комплексные диагностические обследования (КДО) или испытания все шире используются для оценки состояния силовых трансформаторов, автотрансформаторов...Оценка состояния и продление срока службы силовых трансформаторов
18 марта, 2011
В.В.Смекалов к.т.н.- РАО «ЕЭС России», А.П.Долин к.т.н., Н.Ф.Першина - НПО «Техносервис-Электро» Россия
В настоящее время на энергопредприятиях России работают около 20000 единиц силовых трансформаторов, автотрансформаторов...








































































































